INTEGRALRECHNUNG I
Videoeinführung in dieses Kapitel
https://vimeo.com/480677380/8e6c4ebafe

1 Überblick über dieses Buch
Worum geht es?
Die Integralrechnung ist ein zentrales Kapitel in der Mathematikausbildung vieler Studieng¨ange. Denn sie ist Grundlage unz¨ahliger Anwendungen und das Fundament zahlreicher weiterer Themengebiete. Es ist
m¨oglich, die Methoden der Integralrechnung so zu strukturieren, dass deutlich
wird, welche Methoden aufeinander aufbauen und wann welche Methode zu
benutzen ist. Konkret werden wir in diesem ersten Band zur Integralrechnung
Folgendes behandeln.
• Terminologie
Da Sie Integrale bereits aus der Schule und anderen Vorlesungen kennen, beschränken wir uns auf eine kurze Wiederholung der wichtigsten Begriffe. Wir verzichten also bewusst auf eine formale Einfuhrung in das Thema und können uns dadurch schneller und ausfuhrlicher mit den Integrationsmethoden beschäftigen.
• Grundintegrale
Die Grundintegrale werden in Vorlesungen eingefuhrt und anschließend als bekannt vorausgesetzt. Ein Ziel bei der Berechnung von Integralen ist es immer, das gegebene Integral mit geeigneten Methoden auf ein oder mehrere Grundintegrale zuruckzuführen. Daher stellen wir die Grundintegrale in einer Übersicht zusammen, die Ihnen anschließend auch als Hilfsmittel beim Lösen komplexerer Integrale dient.
• Elementare Substitutionen
Es gibt einige Substitutionstypen (wie etwa die lineare und logarithmische Substitution), bei denen das Ergebnis der Substitution noch in einer einfachen Formel ausgedruckt werden kann. Da diese Substitutionstypen eher einfach sind (was ”einfach“ heißt, werden wir sehen), werden wir uns hieran die grundlegende Vorgehensweise bei der Substitution erarbeiten, die nahezu unverändert auch bei anderen Substitutionen zum Einsatz kommt.
Zielsetzung
Beim Lösen von Integralen muss man genau wissen, was man tut, bevor man mit der Rechnung beginnt. Sie sollten bereits beim Anblick eines Integrals wissen, mit welchen Methoden es zu lösen ist. Denn ein Ausprobieren oder Rechnen auf gut Glück wird in der Regel nicht funktionieren und viel Zeit kosten. Sie sollten und werden daher nach dem Durcharbeiten der Beispiele

Abbildung 4: Wie ist dieses Integral zu berechnen?

Abbildung 4: Wie ist dieses Integral zu berechnen?
und Erläuterungen in unseren Büchern zur Integration einen Überblick haben, welche Typen von Integralen es gibt und ein gegebenes Integral dem richtigen Typ zuordnen und damit den richtigen Lösungsweg einschlagen können. Anschließend werden Sie das Integral korrekt lösen können – sofern Sie über die benötigten Vorkenntnisse verfugen und die Tipps und Tricks verinnerlichen.
Benötigte Vorkenntnisse
Bei der Anwendung der Substitution als eine der wichtigsten Integrationsmethoden müssen auch Ableitungen von Funktionen berechnet werden. Daher setzen wir die Kenntnis der Ableitungsregeln (Produktregel, Quotientenregel, Kettenregel) hier voraus. Arbeiten Sie diese ggf. bitte nochmals nach.
Videoeinführung in dieses Kapitel
https://vimeo.com/482578712/9d00868be5

2 Terminologie
Das Thema Integralrechnung ist Ihnen schon h¨aufig begegnet: In der Schule,
der Vorlesung, den Ubungen/Tutorien und wahrscheinlich auch schon in eini- ¨
gen Ihrer anderen Vorlesungen. Daher verzichten wir hier auf eine ausfuhrliche ¨
Einfuhrung des Integralbegriffs, sondern stellen in der folgenden ¨ Ubersicht die ¨
verwendeten Begriffe und bereits bekannten Beziehungen kurz bereit, ohne
n¨aher auf deren Herleitung einzugehen. Dieses Vorgehen erm¨oglicht es uns,
schnell ”
zur Sache“ zu kommen, n¨amlich zur Berechnung von Integralen.
Uberblick ¨ uber wichtige Begriffe und Zusammenh ¨ ¨ange in der Integralrechnung
Im Folgenden setzen wir voraus, dass die Funktionen uber alle ben ¨ ¨otigten Eigenschaften verfugen.







Learning Nugget
https://vimeo.com/482082272/f0e1992115

Learning Nugget
https://vimeo.com/482082272/f0e1992115
Videoeinführung in dieses Kapitel
https://vimeo.com/482077095/cb20733796

3 Grundintegrale und Integrationsregeln
Im Übungsteil finden Sie folgende Aufgaben zum Training der in diesem Abschnitt behandelten Themen:
- Aufgaben 5.1, 5.2, 5.3, 5.4
Fast unendlich viele weitere Trainingsmöglichkeiten bieten Ihnen die digitalen Aufgaben zu diesem Kapitel:

Beliebig häufiges Üben mit digitalen Aufgaben!
1. Scannen Sie den QR-Code oder rufen Sie folgenden Link auf:
https://tinyurl.com/ycvwxtvh.
2. Klicken Sie dann auf: Kapitel 3 | Chapter 3
3. Klicken Sie anschließend auf ”Los geht’s!“.
3.1 Grundintegrale








3.2 Integrationsregeln







Learning Nugget
https://vimeo.com/482083373/a0a3d3686d

Learning Nugget
https://vimeo.com/482083373/a0a3d3686d
Beispiel Integralrechnung 3.3
Berechnen Sie folgende Integrale. Geben Sie während der Rechnung die verwendeten Integrationsregeln bzw. Grundintegrale an. a) \(\int \cos (-3x+2)\, dx\) b) \(\int \cos (-3x+2)\, dx\) c) TODO: d) TODO



Beispiel Integralrechnung 3.3
Berechnen Sie folgende Integrale. Geben Sie während der Rechnung die verwendeten Integrationsregeln bzw. Grundintegrale an.
a) \(\int \cos (-3x+2)\, dx\)
b) \(\int \cos (-3x+2)\, dx\)
c) TODO:
d) TODO




Learning Nugget
https://vimeo.com/482091167/6129669c59

Learning Nugget
https://vimeo.com/482091167/6129669c59
Beispiel Integralrechnung 3.4
TODO: gesamt! Berechnen Sie folgende Integrale. Geben Sie während der Rechnung die verwendeten Integrationsregeln bzw. Grundintegrale an.
a) \(\int \cos (-3x+2)\, dx\)
b) \(\int \cos (-3x+2)\, dx\)
c) TODO:
d) TODO


Beispiel Integralrechnung 3.4
TODO: gesamt! Berechnen Sie folgende Integrale. Geben Sie während der Rechnung die verwendeten Integrationsregeln bzw. Grundintegrale an.
a) \(\int \cos (-3x+2)\, dx\)
b) \(\int \cos (-3x+2)\, dx\)
c) TODO:
d) TODO


Beispiel Integralrechnung 3.5
TODO: gesamt! Berechnen Sie folgende Integrale. Geben Sie während der Rechnung die verwendeten Integrationsregeln bzw. Grundintegrale an.
a) \(\int \cos (-3x+2)\, dx\)
b) \(\int \cos (-3x+2)\, dx\)
c) TODO:
d) TODO



Beispiel Integralrechnung 3.5
TODO: gesamt! Berechnen Sie folgende Integrale. Geben Sie während der Rechnung die verwendeten Integrationsregeln bzw. Grundintegrale an.
a) \(\int \cos (-3x+2)\, dx\)
b) \(\int \cos (-3x+2)\, dx\)
c) TODO:
d) TODO




Learning Nugget
https://vimeo.com/493700949/21155462c6

Learning Nugget
https://vimeo.com/493700949/21155462c6
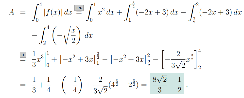
Beispiel Integralrechnung 3.6
TODO: gesamt! Berechnen Sie die Gesamtfläche, die der im Folgenden skizzierte Graph der Funktion f : [0, 4] → R mit der x-Achse einschließt.



Beispiel Integralrechnung 3.6
TODO: gesamt! Berechnen Sie die Gesamtfläche, die der im Folgenden skizzierte Graph der Funktion f : [0, 4] → R mit der x-Achse einschließt.



Videoeinführung in dieses Kapitel
https://vimeo.com/482079741/3231748cac

4 Elementare Substitution
Im Übungsteil finden Sie folgende Aufgaben zum Training der in diesem Abschnitt behandelten Themen:
- Lineare Substitution (LSub): Aufgaben 5.5 (S.52) und 5.6 (S.54)
- Substitution zur Elimination der Ableitung (EdA): Aufgaben 5.7(S.55), 5.8 (S.57)
Fast unendlich viele weitere Trainingsmöglichkeiten bieten Ihnen die digitalen Aufgaben zu diesem Kapitel:
• zur Lineare Substitution (LSub)

Beliebig häufiges Üben mit digitalen Aufgaben!
1. Scannen Sie den QR-Code oder rufen Sie folgenden Link auf:
https://tinyurl.com/ycvwxtvh.
2. Klicken Sie dann auf: Kapitel 4.1 | Chapter 4.1
3. Klicken Sie anschließend auf ”Los geht’s!“.
• Substitution zur Elimination der Ableitung (EdA)

Beliebig häufiges Üben mit digitalen Aufgaben!
1. Scannen Sie den QR-Code oder rufen Sie folgenden Link auf:
https://tinyurl.com/ycvwxtvh.
2. Klicken Sie dann auf: Kapitel 4.2 | Chapter 4.2
3. Klicken Sie anschließend auf ”Los geht’s!“.
4.1 Lineare Substitution (LSub)

Abbildung 5: Methoden und Techniken der Integralrechnung

Abbildung 5: Methoden und Techniken der Integralrechnung
Beispiel Integralrechnung 4.1
Berechnen Sie das Integral \(\int \cos (-3x+2)\, dx\).


Beispiel Integralrechnung 4.1
Berechnen Sie das Integral \(\int \cos (-3x+2)\, dx\).



Learning Nugget
https://vimeo.com/493746598/0c7d32ace9

Learning Nugget
https://vimeo.com/493746598/0c7d32ace9
Beispiel Integralrechnung 4.2
Berechnen Sie das Integral \( \int_{-1}^{-{2}{5}} e^{5x+2}\, dx\)

Beispiel Integralrechnung 4.2
Berechnen Sie das Integral \( \int_{-1}^{-{2}{5}} e^{5x+2}\, dx\)

Beispiel X.X – Komponente Premium Content Lösung
Berechnen Sie das Integral \( \int_{-1}^{-{2}{5}} e^{5x+2}\, dx\)

Diese Lösung ist Premium Content.

Diese Lösung ist Premium Content.
X.X Beispiel - Komponente Premium Content Erklärung

Dieser Abschnitt ist Premium Content.

Integralrechnung I: von den Grundintegralen bis zu elementaren Substitutionen – mit 11 Erklärvideos, über 100 Beispielen und digitalen Aufgaben für ein unbegrenztes Training durch Augmented Reality





